我可以为您提供详细的查询方法、相关背景信息以及一些后续建议,希望能帮助到您。

成绩查询方法(回顾性信息)
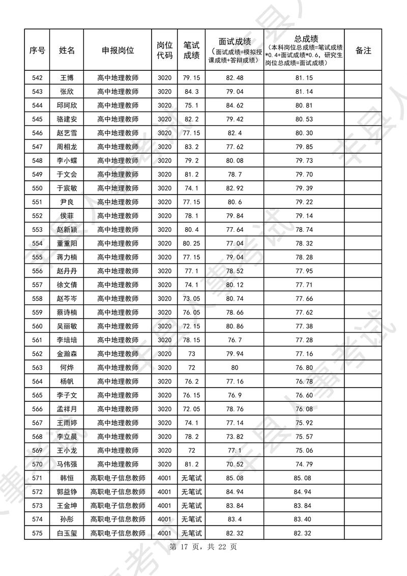
在2025年,盘锦教师招聘的成绩查询通常有以下几种方式,这些方法现在可能已不再适用,但可以作为了解当时流程的参考:
-
官方网站查询(最可能的方式)
- 查询网站:考生需要登录盘锦市教育局官方网站或盘锦市人力资源和社会保障局官方网站。
- 查询路径:网站首页通常会有“通知公告”、“政务公开”或“人事信息”等栏目,考生需要在这些栏目中查找关于“2025年盘锦市教师招聘考试成绩查询”的专门通知。
- 查询入口:通知中会提供一个成绩查询链接或入口,点击后进入查询系统。
- 登录信息:输入自己的报名序号、身份证号、姓名等信息即可查询。
-
指定考试机构网站查询
有时招聘单位会委托专业的考试机构(如华图教育、中公教育等)组织笔试或面试,在这种情况下,成绩查询可能会在这些合作机构的官方网站上进行。
(图片来源网络,侵删) -
电话咨询
- 如果在网上无法查询,最直接有效的方式是拨打招聘公告中公布的咨询电话进行询问,这是获取官方信息最可靠的途径之一。
重要背景信息(为什么现在查不到)
- 数据存档周期:政府网站和系统通常会定期清理旧数据,以保障服务器性能和数据安全,像2025年这样距今超过5年的招聘数据,几乎不可能在官方网站上保留。
- 系统下线:为特定招聘项目搭建的查询系统,在招聘工作全部结束后(如公示、录用完成)就会被关闭,不再对外提供服务。
如果您仍想尝试,可以怎么做?
虽然直接在线查询的可能性极低,但您还可以尝试以下方法:
-
直接致电官方机构(最推荐)
- 盘锦市教育局人事科:这是负责教师招聘的核心部门,他们可能会有当年的存档记录,可以尝试通过114查询或官方网站上找到最新的联系电话进行咨询。
- 盘锦市人力资源和社会保障局事业科:作为主管事业单位人事的政府部门,他们也可能保留相关记录。
- 说明情况:致电时,请清晰地说明您的姓名、身份证号、报考年份(2025年)和报考岗位,询问他们是否还有您的成绩记录或是否可以提供查询方式。
-
查看网络档案(仅供参考)
- 您可以尝试使用搜索引擎(如百度、谷歌)搜索关键词:“2025年盘锦教师招聘成绩查询”。
- 注意:搜索结果很可能是当年的新闻报道、经验分享帖或论坛讨论,这些内容无法提供真实的查询入口,但可以帮助您了解当年的分数线、考试情况等背景信息,切勿相信任何非官方的个人或机构声称能查分。
关于后续事宜
如果您当时进入了面试或体检环节,但后续流程中断或对结果有疑问:
- 咨询录用情况:同样,直接联系教育局或人社局是最有效的办法,询问您当年是否被录用,以及后续的人事档案是否已转至相应学校或教育局。
现在通过官方网站在线查询2025年盘锦教师招聘成绩的可能性基本为零。
最有效的途径是直接联系盘锦市教育局或市人社局,通过电话咨询的方式,询问他们是否还保留有当年的成绩记录。
希望这些信息能对您有所帮助!
