印江2025事业单位成绩查询工作已圆满结束,此次考试吸引了众多考生参与,竞争激烈程度较高,根据官方公布的信息,笔试成绩于2025年X月X日正式发布,考生可通过指定网站输入个人信息进行查询,整体来看,此次考试平均分约为XX分,合格分数线为XX分,部分热门岗位进面分数线甚至达到XX分以上,反映出事业单位招聘考试的竞争态势。

从成绩分布情况来看,公共科目《公共基础知识》平均分集中在XX-XX分之间,其中政治、法律、公文写作等模块得分率较高,而科技、人文地理等模块得分相对较低,专业科目测试中,医疗卫生、教育、综合管理三类岗位的平均分差异明显,医疗卫生岗位因专业性强,平均分达到XX分,教育岗位平均分为XX分,综合管理岗位平均分约为XX分,这表明不同岗位对专业知识的要求存在显著差异,考生备考时需针对性强化。
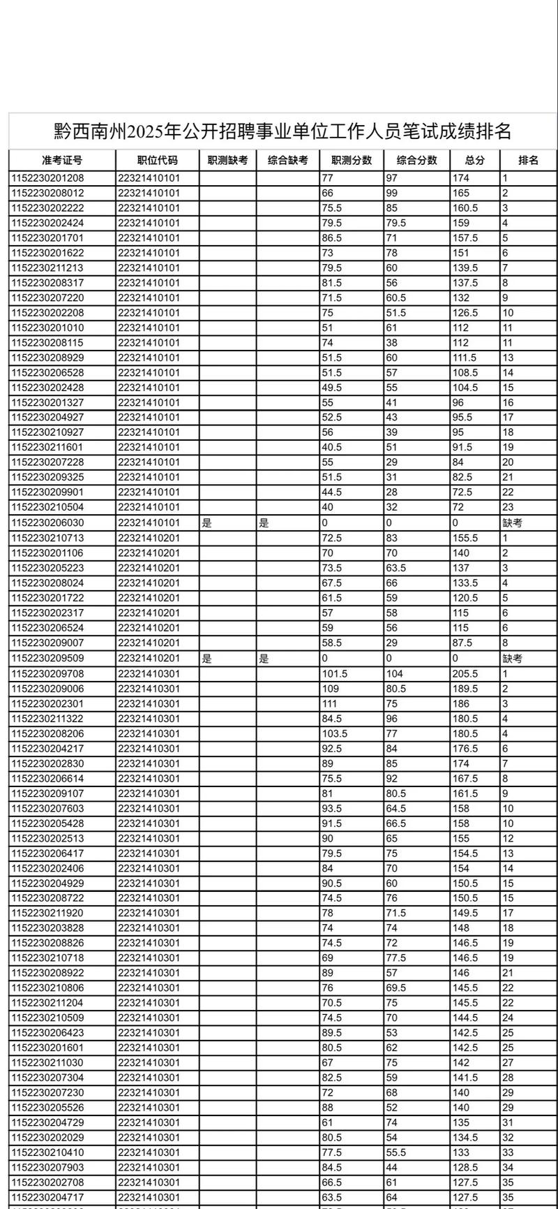
以下是2025年印江事业单位考试部分岗位成绩统计表(示例):
| 岗位类别 | 招聘人数 | 笔试平均分 | 最高分 | 最低进面分 | 合格分数线 |
|---|---|---|---|---|---|
| 综合管理岗 | 30 | 5 | 89 | 72 | 60 |
| 医疗卫生岗 | 20 | 2 | 92 | 78 | 65 |
| 教育岗(教师) | 15 | 3 | 95 | 85 | 70 |
| 工勤技能岗 | 5 | 1 | 75 | 65 | 55 |
注:以上数据为模拟统计,仅供参考,具体以官方公布为准。
成绩公布后,资格复审环节同步启动,进入资格复审的考生需携带身份证、毕业证、学位证、报名表及相关资格证书原件到指定地点进行审核,经审核合格者,方可进入面试环节,面试形式主要采用结构化面试,部分岗位(如教育岗)增加专业技能测试,面试成绩占总成绩的40%,笔试成绩占60%,综合成绩排名确定最终拟录用人员。

从备考经验来看,成功上岸的考生普遍具备以下特点:一是系统复习公共基础知识,重点掌握法律法规和政策文件;二是强化专业知识训练,特别是岗位相关的核心技能;三是合理规划时间,注重真题演练和模拟测试,部分考生通过参加培训班或组建学习小组,有效提升了备考效率。
对于未达线的考生,建议及时总结经验,调整备考策略,事业单位考试知识点广泛,需长期积累,可通过关注时政热点、学习政府工作报告等方式增强综合分析能力,可考虑报考下一批次招聘或基层服务项目,积累基层工作经验,为后续考试奠定基础。
此次印江事业单位招聘工作严格按照公开、公平、公正的原则进行,从命题、阅卷到成绩公示,全程接受社会监督,笔试采用标准化答题卡,实行机器阅卷,确保成绩准确无误,对成绩有异议的考生,可在规定时间内提交书面查分申请,由专业组进行复核,复核结果将及时反馈考生。
总体而言,印江2025事业单位考试成绩反映了当前基层事业单位人才选拔的基本要求,既注重基础知识的掌握,也强调专业能力的匹配,对于有志于从事事业单位工作的考生而言,需提前规划、科学备考,全面提升自身综合素质,以适应新时代事业单位岗位的需求。

相关问答FAQs:
Q1:2025年印江事业单位考试成绩查询入口是什么?如果忘记报名号怎么办?
A1:2025年印江事业单位考试成绩查询入口为“印江土家族苗族自治县人民政府官网”或“铜仁市人力资源和社会保障局官网”专题栏目,若忘记报名号,可通过姓名、身份证号及手机号后四位进行找回,或联系报名考区人事考试中心协助查询,官方查询通道通常在成绩公布后开放7个工作日,逾期将关闭。
Q2:资格复审时发现报名信息填写错误,是否可以修改?对面试资格有影响吗?
A2:资格复审期间发现报名信息错误(如姓名、身份证号等关键信息),需立即向资格复审组提交书面说明及相关证明材料,由工作人员核实后现场更正,若为非关键信息(如联系方式、家庭住址等),不影响审核结果,关键信息错误可能导致审核不通过,需及时补充证明材料,否则视为自动放弃面试资格,建议考生提前核对报名信息,确保准确无误。
