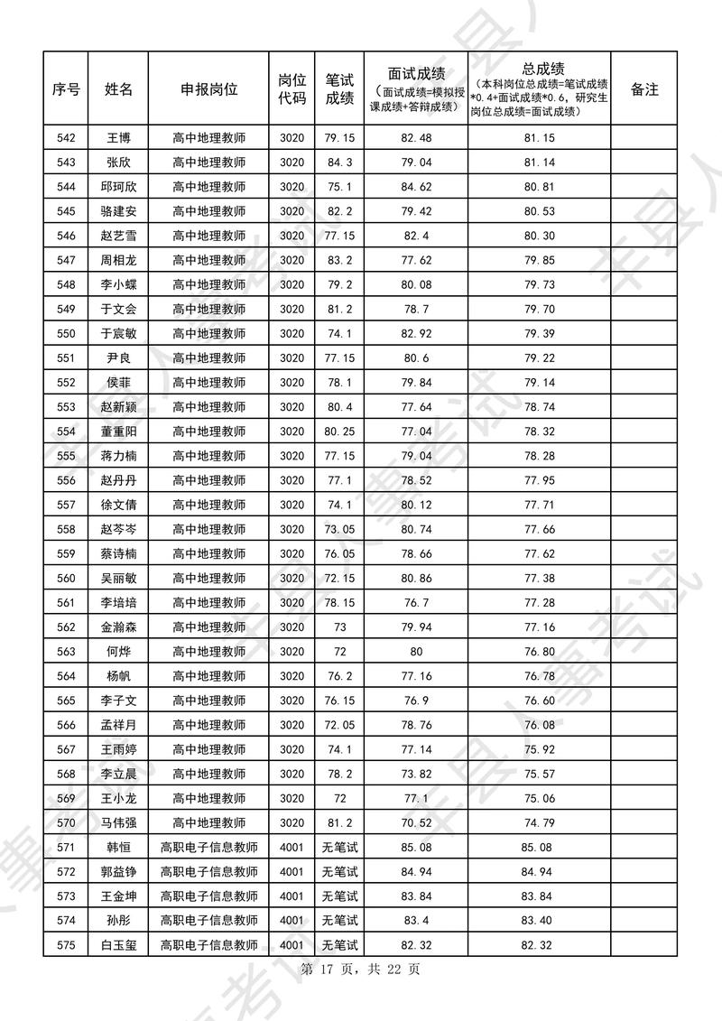
关于陆良县2025年教师招聘的笔试成绩,以下是详细说明和查询建议:

成绩查询时间与官方渠道
-
原始查询时间
陆良县2025年教师招聘笔试成绩通常在考试结束后1-2个月内公布,根据往年惯例,2025年的成绩发布时间大约在2025年6月至7月期间。 -
官方查询渠道
- 陆良县教育局官网:当时成绩查询入口通常发布在“通知公告”或“人事信息”栏目。
- 曲靖市人力资源和社会保障局官网:部分教师招聘由市级人社部门统一组织,成绩可能通过市级官网发布。
- 指定报名网站:如“曲靖市事业单位公开招聘工作人员专题网站”或“云南人事考试网”等。
当前查询可能性
-
官网信息存档
由于时间久远(2025年),教育局或人社局官网可能已移除相关通知,建议尝试以下方式:- 访问 陆良县人民政府官网(www.luliang.gov.cn),在“政务公开”或“历史文件”中搜索关键词“2025年教师招聘成绩”。
- 使用 百度快照 或 互联网档案馆(Wayback Machine) 查看官网2025年6-7月的历史页面。
-
线下咨询
(图片来源网络,侵删)- 陆良县教育局人事股:电话咨询(需自行查找最新电话,如0874-XXXXXXX)并提供个人身份信息核实成绩。
- 曲靖市人才服务中心:若招聘由市级统筹,可尝试联系档案管理部门。
替代解决方案
-
个人档案查询
若已入职,个人档案中可能存有成绩单复印件,可联系所在学校或教育局人事科调阅。 -
社区/论坛信息
在“陆良同城网”“曲靖人才网”等本地论坛或QQ群中搜索,可能有考生分享当时成绩截图或经验贴。
注意事项
- 信息真实性:非官方渠道获取的成绩需谨慎核实,避免误导。
- 隐私保护:查询时勿随意泄露身份证号、准考证号等敏感信息。
建议操作步骤
- 访问陆良县教育局官网 → 查找“2025年教师招聘”专题 → 浏览历史通知。
- 尝试通过百度搜索关键词:
"陆良县2025年教师招聘笔试成绩公示"。 - 若官网无果,直接致电教育局人事股咨询(电话可通过114查询)。
如需进一步协助,可提供更多个人信息(如报考岗位、准考证号后四位等),我将尽力帮您分析查询方向。

